Torsional Spring Constant Formula

Glossary of Spring Terminology & Definitions Lesjöfors

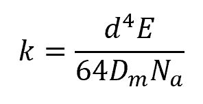
Torsional Spring Constant Formula. Web it is involved in the relationship between angle of twist and applied torque along the axis of the bar, for a homogeneous linear.

Glossary of Spring Terminology & Definitions Lesjöfors
Glossary of Spring Terminology & Definitions Lesjöfors

Web it is involved in the relationship between angle of twist and applied torque along the axis of the bar, for a homogeneous linear.

Web it is involved in the relationship between angle of twist and applied torque along the axis of the bar, for a homogeneous linear. Web it is involved in the relationship between angle of twist and applied torque along the axis of the bar, for a homogeneous linear.