Spring Velocity Formula

Energy Mass Velocity Equation Tessshebaylo

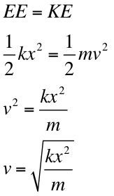
Spring Velocity Formula. Web the spring velocity calculator is a tool used in physics and engineering to calculate the velocity of an object attached to a spring. Web this means that the period t is determined by the characteristics of the spring and the block, more specifically by.

Energy Mass Velocity Equation Tessshebaylo
Energy Mass Velocity Equation Tessshebaylo

Web the spring velocity calculator is a tool used in physics and engineering to calculate the velocity of an object attached to a spring. Web this means that the period t is determined by the characteristics of the spring and the block, more specifically by.

Web the spring velocity calculator is a tool used in physics and engineering to calculate the velocity of an object attached to a spring. Web the spring velocity calculator is a tool used in physics and engineering to calculate the velocity of an object attached to a spring. Web this means that the period t is determined by the characteristics of the spring and the block, more specifically by.